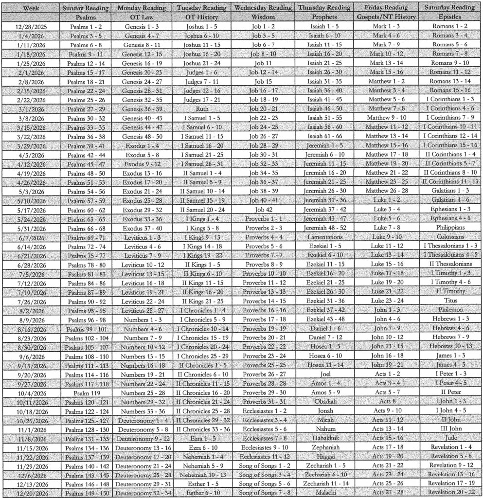
As the new year begins, most Bible reading plans start over. Our plan is no different, other than the fact that it’s already started! Since we have a 52 week plan, it doesn’t coincide exactly with the new year changeover. But now is still a good time to start – you’re only three easy days behind.

If you would rather have something pushed out to you daily, you can follow us on x/twitter at https://x.com/feettoyourfaith or on Facebook https://www.facebook.com/feet2urfaith. Each day’s reading is published at 6:00 AM ET. We publish a link to Bible Gateway with the reading embedded. This year, we’re reading the Christian Standard Bible, but you can change that as you open it up. If you choose, you can have the passage read to you so you can follow along.
However you do it, it is important that you read God’s word regularly, that you immerse yourself in it. As the Psalmist said in Psalm 119:11 “I have treasured your word in my heart
so that I may not sin against you.”